1. Introduction
β-Glucan plays a vital role in the health-promoting properties of oats. Its physiological efficacy is closely related to its molecular configuration, linkage pattern, and degree of polymerization. Understanding the fine structure of oat β-glucan provides the foundation for its functional food development and industrial utilization. However, differences in oat varieties, growing regions, and processing methods can lead to variations in β-glucan structure and properties. The present study systematically investigates the structural features of oat β-glucan and provides direct nanoscale evidence of its supramolecular morphology.
2. Results and Discussion
2.1 Structural Features
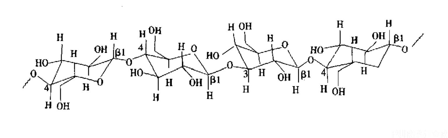
The purified oat β-glucan (POG-1A) was identified as a homogeneous polysaccharide composed exclusively of glucose. Spectroscopic analyses confirmed that its backbone consists of β-(1→3) and β-(1→4) glycosidic linkages in an irregular sequence. The ratio of these linkages indicates a predominance of β-(1→4) bonds, with β-(1→3) linkages acting as molecular “branching points” that interrupt linearity and contribute to the molecule’s solubility and viscosity.
This structure is consistent with the typical β-glucan pattern reported for cereal species such as oats and barley, suggesting that the molecular conformation is responsible for the unique rheological behavior of oat β-glucan in aqueous solution.

2.2 Enzymatic Degradation Pattern
Specific enzymatic hydrolysis further demonstrated that oat β-glucan is primarily composed of cellotriose and cellotetraose repeating units. These structural motifs are characteristic degradation products of β-(1→3)(1→4)-D-glucans, confirming the alternating linkage pattern along the polymer chain. The regular arrangement of these linkages may facilitate the formation of triple-helix conformations under certain conditions, contributing to the molecule’s stability and bioactivity.
2.3 Morphological Structure by AFM
Atomic Force Microscopy (AFM) provided a direct visualization of β-glucan’s nanoscale morphology. The unhydrolyzed β-glucan appeared as spherical granules of 2–10 nm diameter, forming a compact and continuous network structure. Each granule was estimated to contain several intertwined β-glucan chains, potentially arranged in right-handed triple helices.
After enzymatic hydrolysis, the network structure was disrupted, and the image revealed irregular aggregates composed of shorter chain fragments. This transformation corroborates the enzymatic cleavage pattern and confirms that β-(1→4) bonds are preferentially hydrolyzed.
AFM thus proved to be a powerful method for observing the spatial organization of polysaccharide molecules, providing visual evidence of the molecular aggregation and structural changes that occur during hydrolysis.
3. Conclusions
This study successfully elucidated the molecular structure and nanoscale morphology of oat β-glucan. The polysaccharide was confirmed to be a linear β-(1→3)(1→4)-D-glucan, with alternating linkages forming flexible yet ordered molecular chains. Its enzymatic degradation produced mainly tri- and tetrasaccharides, typical of cereal β-glucans.
AFM observations revealed that oat β-glucan molecules self-assemble into uniform spherical aggregates that interconnect into a fine network, which is disrupted upon enzymatic cleavage.
These findings deepen the understanding of the structure–function relationship of oat β-glucan, providing theoretical support for its applications in health-promoting foods and nutraceuticals. Moreover, the use of AFM highlights a novel approach for studying the three-dimensional organization of biopolymers at the nanoscale level.
Contact:
Phone: 0086-13754204265
Tel: 0086-572-2157374
Email: sales@bulkbetaglucan.com
Add: No.235,Huanchengdong Road,Huzhou,Zhejiang,China